3月18日讯 OpenAI 公司昨日(3 月 17 日)发布公告,宣布推出迄今最强大的小型模型 GPT-5.4 mini 与 GPT-5.4 nano,专为高频且对延迟敏感的任务设计。
援引博文介绍,官方强调,在代码助手、系统截图解析以及实时图像推理等对延迟要求极高的场景中,响应迅速且能可靠调用工具的小型模型往往比大型模型更具优势。
这两款模型不仅继承了 GPT-5.4 的诸多优势,还专门针对高频工作负载优化,目的通过更快的响应速度和更高的效率,来提升产品体验。
GPT-5.4 mini 在编写代码、逻辑推理、多模态理解以及工具调用方面的表现远超 GPT-5 mini,同时运行速度提升了 2 倍以上。

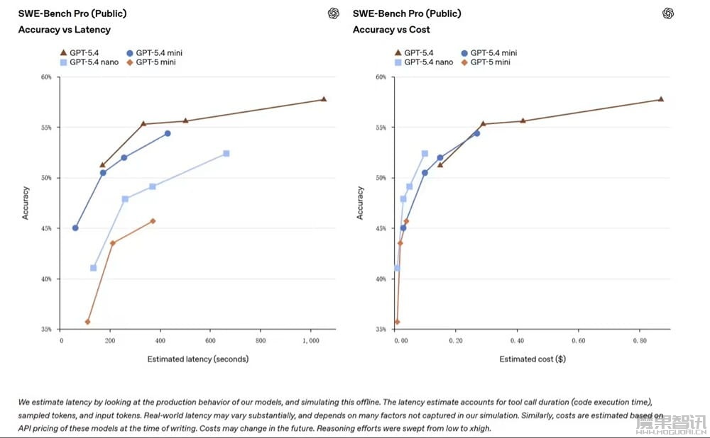
此外,它在 SWE-Bench Pro 和 OSWorld-Verified 等多项基准测试中,成绩已经逼近体积更大的 GPT-5.4 模型。


凭借极低的延迟,GPT-5.4 mini 特别适合需要快速迭代的代码工作流,能够高效处理精准编辑、代码库导航及前端生成等任务。在多模态领域,它也能迅速解析密集的电脑用户界面截图,出色完成各类计算机操作任务。
GPT-5.4 nano 则是目前体积最小、价格最亲民的版本。作为 GPT-5 nano 的重大升级版,它专为将速度和成本视为首要考量的任务而生。开发者可以将其广泛应用于文本分类、数据提取、内容排序,以及处理简单辅助任务的代码子代理(Subagents)中。


两款模型目前已正式开放使用。GPT-5.4 mini 已全面接入 API、Codex 及 ChatGPT。
其 API 版本支持 400k 上下文窗口,输入与输出成本分别为每百万 Token 0.75 美元和 4.50 美元;在 Codex 中调用仅消耗 GPT-5.4 额度的 30%;在 ChatGPT 中,Free 和 Go 用户可通过“思考(Thinking)”功能体验。
相比之下,GPT-5.4 nano 目前仅通过 API 提供,其输入与输出成本极低,分别为每百万 Token 0.20 美元和 1.25 美元。






